Raydafon Technology Group Co.,Limited

Belt conveyor,RTO,Vacuum Pump,Machining Center,hydraulic cylinder,Motor,Agricultural parts,Air compressor,PTO shaft,Gear,V-belt pulley,Timing pulley,Coupling,Chains,Sprocket,Agricultural gearbox,Gearbox/gear reducer,Ungrouped

Standard Frame Size 1500rpm AC Servo Motor High Efficiency Rare Earth Permanent Magnet Energy-saving 3 Phase Synchronous Motors

Standard Frame Size 1500rpm AC Servo Motor High Efficiency Rare Earth Permanent Magnet Energy-saving 3 Phase Synchronous Motors

#detail_decorate_root .magic-0{border-bottom-style:solid;border-bottom-color:#53647a;font-family:Roboto;font-size:24px;color:#53647a;font-style:normal;border-bottom-width:2px;padding-top:8px;padding-bottom:4px}#detail_decorate_root .magic-1{vertical-align:top}#detail_decorate_root .magic-2{padding:0......Keywords:Standard Frame Size 1500rpm Ac Servo Motor High Efficiency Rare Earth Permanent Magnet Energy-saving 3 Phase Synchronous Motors - Buy Rare Earth Permanent Magnet 3-phase Synchronous Motor Ac Servo Motor High Efficiency Ac Servo Motor Energy Saving Low Noise High Torque Density Compact Size Variable Speed Application Industrial Automation Robotics Cnc Machine Tools Electric Vehicles Renewable Energy Systems Permanent Magnet Generator Totally Enclosed Synchronous Motor With Rare Earth Permanent Magnet Product on CMN Industry Inc

Send Inquiry

Product Description


Product overview

TYC series (IP55) rare earth permanent magnet three-phase synchronous motor Overview SUMMARY The TYC series ultra-high efficiency rare earth permanent magnet synchronous motor, which exceeds the IE4 efficiency standard, is our company's latest green energy-saving motor. It adopts high-performance rare earth permanent magnet materials and frequency conversion technology, operates with encoderless vector control, and has an internal magnetic steel structure. It has the advantages of high efficiency, reliable operation, and good installation interchangeability. MAIN CHARACTERISTICS Simple and reliable structure: encoderless vector control can achieve smooth stepless speed regulation from 0 to 1.5 times the rated speed, and can achieve unlimited start and stop. High protection level: IP55 protection level eliminates the disadvantage of permanent magnets of motors with lower protection levels absorbing iron dust and blocking the air gap. Strong anti-demagnetization ability: adopts internal magnetic steel structure and designs a higher maximum demagnetization working point. High power density and small size: The permanent magnet magnetic field of the motor rotor and the rotating magnetic field of the stator run synchronously without slip loss. The stator winding does not need to absorb reactive current from the power grid, which greatly reduces motor loss and temperature rise. Under the same power and torque, the motor mass and volume can be reduced by 70%, and the frame size or center height can be reduced by 1~2 levels. Ultra-High Efficiency Operation: This motor meets the Class 1 energy efficiency standard specified in GB/30253-2024, "Energy Efficiency Limits and Efficiency Grades for Permanent Magnet Synchronous Motors," and exceeds the IE4 efficiency standard (stray losses are calculated using the recommended values of the 112B method). IE5 or higher efficiency standards can be provided upon request. The motor also delivers exceptional efficiency across the entire speed and power range.
Standard Frame Size 1500rpm AC Servo Motor High Efficiency Rare Earth Permanent Magnet Energy-saving 3 Phase Synchronous Motors
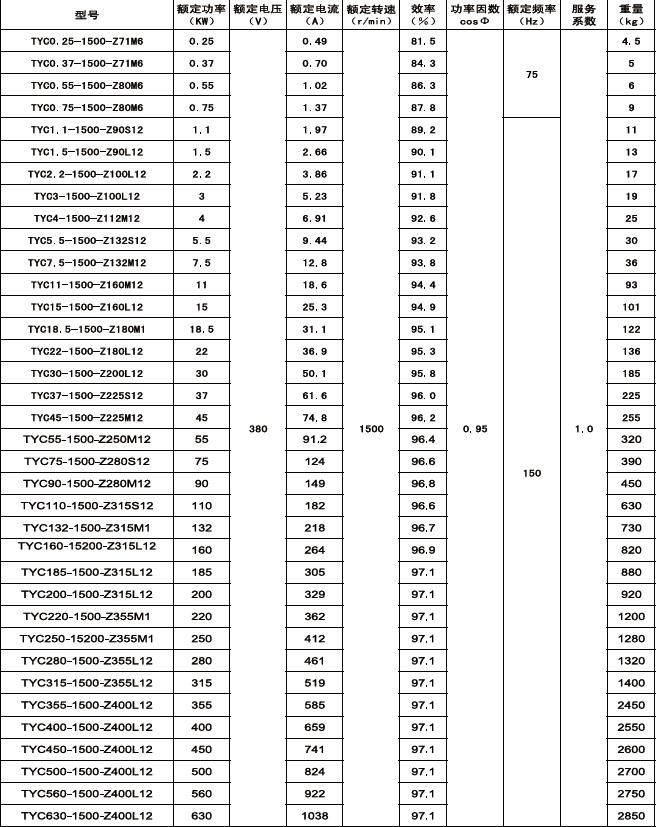
Main Specifications & Technical Data
Standard Frame Size 1500rpm AC Servo Motor High Efficiency Rare Earth Permanent Magnet Energy-saving 3 Phase Synchronous Motors
Machanical data
Standard Frame Size 1500rpm AC Servo Motor High Efficiency Rare Earth Permanent Magnet Energy-saving 3 Phase Synchronous Motors
Standard Frame Size 1500rpm AC Servo Motor High Efficiency Rare Earth Permanent Magnet Energy-saving 3 Phase Synchronous Motors
Standard Frame Size 1500rpm AC Servo Motor High Efficiency Rare Earth Permanent Magnet Energy-saving 3 Phase Synchronous Motors
Standard Frame Size 1500rpm AC Servo Motor High Efficiency Rare Earth Permanent Magnet Energy-saving 3 Phase Synchronous Motors
Click here to contact us for more discounts!
Standard Frame Size 1500rpm AC Servo Motor High Efficiency Rare Earth Permanent Magnet Energy-saving 3 Phase Synchronous Motors
Standard Frame Size 1500rpm AC Servo Motor High Efficiency Rare Earth Permanent Magnet Energy-saving 3 Phase Synchronous Motors
Standard Frame Size 1500rpm AC Servo Motor High Efficiency Rare Earth Permanent Magnet Energy-saving 3 Phase Synchronous Motors
EVER-POWER GROUP CO., LTD. is specialist in making all kinds of mechanical transmission and hydraulic transmission like: planetary gearboxes, worm reducers, in-line helical gear speed reducers, parallel shaft helical gear reducers, helical bevel reducers, helical worm gear reducers, agricultural gearboxes, tractor gearboxes, auto gearboxes, pto drive shafts, special reducer & related gear components and other related products, sprockets, hydraulic system, vaccum pumps, fluid coupling, gear racks, chains, timing pulleys, udl speed variators, v pulleys, hydraulic cylinder, gear pumps, screw air compressors, shaft collars low backlash worm reducers and so on. furthermore, we can produce customized variators, geared motors, electric motors and other hydraulic products according to customers’ drawings.
Innovative R&D Project: Many years of experience in motor customization and integrated design; Accumulated many years of motor technology advantages and numerous application cases. Smart high-volume manufacturing: Multiple automated and semi-automated production lines, producing more than 30,000 motors per month: Independent automation department promotes localization and innovation of automated production lines Internationally compatible quality management system: Consider the rationality and convenience of the production process from the design stage; Adopting internationally-compliant quality management systems, strictly managing production and quality; Professional and experienced service team: A dedicated customer demand analysis team is set up to respond to customer needs quickly and professionally; Professional sales engineers provide one-to-one, one-stop customized services; Competitive cost: The control system has a huge prototype database, providing reference data and saving development costs; A complete and stable supply chain system, obvious location advantages and saved logistics costs.
Standard Frame Size 1500rpm AC Servo Motor High Efficiency Rare Earth Permanent Magnet Energy-saving 3 Phase Synchronous Motors
Standard Frame Size 1500rpm AC Servo Motor High Efficiency Rare Earth Permanent Magnet Energy-saving 3 Phase Synchronous Motors
Standard Frame Size 1500rpm AC Servo Motor High Efficiency Rare Earth Permanent Magnet Energy-saving 3 Phase Synchronous Motors
Standard Frame Size 1500rpm AC Servo Motor High Efficiency Rare Earth Permanent Magnet Energy-saving 3 Phase Synchronous Motors
Standard Frame Size 1500rpm AC Servo Motor High Efficiency Rare Earth Permanent Magnet Energy-saving 3 Phase Synchronous Motors
Standard Frame Size 1500rpm AC Servo Motor High Efficiency Rare Earth Permanent Magnet Energy-saving 3 Phase Synchronous Motors

Product Tag

Buyer Services
How to buy
Browse by catagories
Browse by Companies
B2B Articles
Seller Services
How to sell
Trade Opportunities
Post Products
Manage Products
Services
Latest Souring Requests
Product Update
China Suppliers Mobile Site
About
About us
Link to us
Contact us
Site map